简介
Curve 协议,一种基于以太坊平台的去中心化交易所,主要聚焦于稳定币、封装资产等的交易。相对于其他 DEX ,Curve 提供的交易对更集中,拥有极低的滑点和手续费,可以满足巨额的资产交易需求。极低的滑点和手续费以及 crv 的生态,都使得 Curve 在众多 DeFi 协议中能占据重要的一席之地。
StableSwap
StableSwap 是 Curve 在白皮书中设计提出的一种稳定币交易模型,该模型能提供极低的交易滑点和无限的流动性。
做市函数
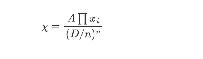
StableSwap 模型的恒定函数做市商曲线(CFMM)如下:

该设计理念基于融合恒定和与恒定积两种做市模型,兼具了恒定和的低滑点以及恒定积的无限流动性的特点
推导
假设现共有n个稳定币,则有:

给恒定和部分添上杠杆系数,并加上恒定积部分,则有:

其中系数 X 引入了偏度的概念,由放大系数和偏度构成,其中偏度用来衡量流动池中各代币的平衡程度

结合以上两式化简即可得出公式(1)
特点
StableSwap 模型的曲线兼具恒定和与恒定积的特点,在各稳定币相对平衡的情况下,公式由恒定和占主导,曲线趋于直线,滑点较低;当在极端情况下,各稳定币不平衡,则公式由恒定积占主导,曲线与坐标轴无交点,不会出现流动性枯竭的情况

Basepool
basepool 为 Curve 推出的基础兑换池,最常见的有 ool,由三种稳定币 DAI、USDC、USDT 组成
basepool 合约实现了基本的 StableSwap 交易模型
参数计算
StableSwap 模型的做市曲线公式(1)中,有两个重要的参数A与D,其中参数A为放大系数,由官方调整设置每个池子的放大系数;而参数D则为池中代币总量,是动态变化的。在 basepool 合约中,参数D的计算由_get_D函数实现:
@pure
@internal
def _get_D(_xp: uint256[N_COINS], _amp: uint256) -> uint256:
“””
D invariant calculation in non-overflowing integer operations
iterative
A * sum(x_i) * n**n + D = A * D * n**n + D**(n+1) / (n**n * prod(x_i))
Converging solution:
D[j+1] = (A * n**n * sum(x_i) – D[j]**(n+1) / (n**n prod(x_i))) / (A * n**n – 1)
“””
S: uint256 = 0
Dprev: uint256 = 0
for _x in _xp:
S += _x
if S == 0:
return 0
D: uint256 = S
Ann: uint256 = _amp * N_COINS
for _i in range(255):
D_P: uint256 = D
for _x in _xp:
D_P = D_P * D / (_x * N_COINS) # If division by 0, this will be borked: on withdrawal will work. And that is good
Dprev = D
D = (Ann * S / A_PRECISION + D_P * N_COINS) * D / ((Ann – A_PRECISION) * D / A_PRECISION + (N_COINS + 1) *D_P)
# Equality with the precision of 1
if D > Dprev:
if D – Dprev <= 1:
return D
else:
if Dprev – D <= 1:
return D
# convergence typical occurs in 4 rounds or less, this should be unreachable!
# if it does happen the pool is borked and LPs can withdraw via `remove_liquidity`
raise
_get_D函数的算法将做市函数公式(1)以D为变量,通过牛顿迭代法计算出合适的D值,算法可谓精妙简洁
同样的算法还用于_get_y函数计算y值
@view
@internal
def _get_y(i: int128, j: int128, x: uint256, _xp: uint256[N_COINS]) -> uint256:
“””
Calculate x[j] if one makes x[i] = x
Done by solving quadratic equation iterative.
x_1**2 + x_1 * (sum’ – (A*n**n – 1) * D / (A * n**n)) = D ** (n + 1) / (n ** (2 * n) * prod’ * A)
x_1**2 + b*x_1 = c
x_1 = (x_1**2 + c) / (2*x_1 + b)
“””
# x in the input is converted to the same price/precision
assert i != j # dev: same coin
assert j >= 0 # dev: j below zero
assert j < N_COINS # dev: j above N_COINS
# should be unreachable, but good for safety
assert i >= 0
assert i < N_COINS
A: uint256 = self._A()
D: uint256 = self._get_D(_xp, A)
Ann: uint256 = A * N_COINS
c: uint256 = D
S: uint256 = 0
_x: uint256 = 0
y_prev: uint256 = 0
for _i in range(N_COINS):
if _i == i:
_x = x
elif _i != j:
_x = _xp[_i]
else:
continue
S += _x
c = c * D / (_x * N_COINS)
c = c * D * A_PRECISION / (Ann * N_COINS)
b: uint256 = S + D * A_PRECISION / Ann # – D
y: uint256 = D
for _i in range(255):
y_prev = y
y = (y*y + c) / (2 * y + b – D)
# Equality with the precision of 1
if y > y_prev:
if y – y_prev <= 1:
return y
else:
if y_prev – y <= 1:
return y
raise
流动性
Curve 池的流动性添加不同于 Uniswap 必须添加交易对的两种资产,basepool 可以仅添加池中某一种资产
@external
@nonreentrant(‘lock’)
def add_liquidity(_amounts: uint256[N_COINS], _min_mint_amount: uint256) -> uint256:
“””
@notice Deposit coins into the pool
@param _amounts List of amounts of coins to deposit
@param _min_mint_amount Minimum amount of LP tokens to mint from the deposit
@return Amount of LP tokens received by depositing
“””
assert not self.is_killed # dev: is killed
amp: uint256 = self._A()
old_balances: uint256[N_COINS] = self.balances
# Initial invariant
D0: uint256 = self._get_D_mem(old_balances, amp) #hunya# 初始状态D0
lp_token: address = self.lp_token
token_supp: uint256 = CurveToken(lp_token).totalSupp()
new_balances: uint256[N_COINS] = old_balances
for i in range(N_COINS):
if token_supp == 0:
assert _amounts[i] > 0 # dev: initial deposit requires all coins
# balances store amounts of c-tokens
new_balances[i] += _amounts[i]
# Invariant after change
D1: uint256 = self._get_D_mem(new_balances, amp) #hunya# 添加流动性后理论D1
assert D1 > D0
# We need to recalculate the invariant accounting for fees
# to calculate fair user’s share
D2: uint256 = D1
fees: uint256[N_COINS] = empty(uint256[N_COINS])
mint_amount: uint256 = 0
if token_supp > 0: #hunya# 非**添加流动性进行手续费扣出
# On account for fees if we are not the first to deposit
fee: uint256 = self.fee * N_COINS / (4 * (N_COINS – 1))
admin_fee: uint256 = self.admin_fee
for i in range(N_COINS):
ideal_balance: uint256 = D1 * old_balances[i] / D0
difference: uint256 = 0
new_balance: uint256 = new_balances[i]
if ideal_balance > new_balance:
difference = ideal_balance – new_balance
else:
difference = new_balance – ideal_balance
fees[i] = fee * difference / FEE_DENOMINATOR
self.balances[i] = new_balance – (fees[i] * admin_fee / FEE_DENOMINATOR)
new_balances[i] -= fees[i]
D2 = self._get_D_mem(new_balances, amp) #hunya# 扣除手续费后的D2
mint_amount = token_supp * (D2 – D0) / D0 #hunya# LP铸币量
else:
self.balances = new_balances
mint_amount = D1 # Take the dust if there was any
assert mint_amount >= _min_mint_amount, “Slippage screwed you”
# Take coins from the sender
for i in range(N_COINS):
if _amounts[i] > 0:
# “safeTransferFrom” which works for ERC20s which return bool or not
_response: Bytes[32] = raw_call(
self.coins[i],
concat(
method_id(“transferFrom(address,address,uint256)”),
convert(msg.sender, bytes32),
convert(self, bytes32),
convert(_amounts[i], bytes32),
),
max_outsize=32,
)
if len(_response) > 0:
assert convert(_response, bool) # dev: failed transfer
# end “safeTransferFrom”
# Mint pool tokens
CurveToken(lp_token).mint(msg.sender, mint_amount)
log AddLiquidity(msg.sender, _amounts, fees, D1, token_supp + mint_amount)
return mint_amount
Metapool
metapool 为 basepool 基础上扩展衍生的新池,用作将新型的稳定币向 basepool 的 LP 代币锚定。basepool 池的流动性提供者可以将 basepool 的 LP 代币再次在 metapool 中添加流动性,进一步赚取额外的交易手续费收益。

metapool 合约中,间接耦合了新型稳定币和基础池的稳定币,在提供了不同稳定币之间的兑换功能的同时,一定程度上分隔了新型稳定币的风险。
稳定币兑换
metapool 合约中的exchange_undering函数实现了稳定币之间的相互兑换功能
@external
@nonreentrant(‘lock’)
def exchange_undering(i: int128, j: int128, _dx: uint256, _min_dy: uint256) -> uint256:
….
# Use base_i or base_j if they are >= 0
base_i: int128 = i – MAX_COIN
base_j: int128 = j – MAX_COIN
meta_i: int128 = MAX_COIN
meta_j: int128 = MAX_COIN
if base_i < 0:
meta_i = i
if base_j < 0:
meta_j = j
dy: uint256 = 0
…
if base_i < 0 or base_j < 0: #hunya# 兑换中包含meta池代币
old_balances: uint256[N_COINS] = self.balances
xp: uint256[N_COINS] = self._xp_mem(rates[MAX_COIN], old_balances)
x: uint256 = 0
if base_i < 0: #hunya# 输入代币为meta池代币
x = xp[i] + dx_w_fee * rates[i] / PRECISION
else: #hunya# 输入代币为base池代币
# i is from BasePool
# At first, get the amount of pool tokens
base_inputs: uint256[BASE_N_COINS] = empty(uint256[BASE_N_COINS])
base_inputs[base_i] = dx_w_fee
coin_i: address = self.coins[MAX_COIN]
# Deposit and measure delta
x = ERC20(coin_i).balanceOf(self)
Curve(base_pool).add_liquidity(base_inputs, 0) #hunya# base池添加流动性
# Need to convert pool token to “virtual” units using rates
# dx is also different now
dx_w_fee = ERC20(coin_i).balanceOf(self) – x
x = dx_w_fee * rates[MAX_COIN] / PRECISION
# Adding number of pool tokens
x += xp[MAX_COIN]
…
# Withdraw from the base pool if needed
if base_j >= 0: #hunya# 输出代币为base池代币
out_amount: uint256 = ERC20(output_coin).balanceOf(self)
Curve(base_pool).remove_liquidity_one_coin(dy, base_j, 0) #hunya# base池移除流动性
dy = ERC20(output_coin).balanceOf(self) – out_amount
assert dy >= _min_dy, “Too few coins in result”
else: #hunya# 纯base池代币兑换,直接调用base池exchange函数
# If both are from the base pool
dy = ERC20(output_coin).balanceOf(self)
Curve(base_pool).exchange(base_i, base_j, dx_w_fee, _min_dy)
dy = ERC20(output_coin).balanceOf(self) – dy
…
log TokenExchangeUndering(msg.sender, i, _dx, j, dy)
return dy
若兑换情况涉及 basepool 代币和 metapool 池代币,则会通过 basepool 的 LP 添加或移除流动性来做中间流程;若只是 basepool 代币的兑换,则直接调用 basepool 的exchange函数进行兑换。
总结
总的来看,无论是白皮书的理论设计还是代码的算法实现都是十分**的,理论设计巧妙夯实,代码算法高效简洁。这些**的实现都使得 Curve 在稳定对价资产交易领域中有着明显的竞争优势。