背景:以太坊交易
(如果您熟悉以太坊,可以跳过本节。)
与所有计算机一样,以太坊区块链是一个状态机,任何给定的以太坊状态都是地址和帐户状态之间的“简单”映射-帐户状态只是存储在帐户中的数据(如帐户余额、合同代码等),帐户由唯一地址控制。

地址到其相应账户状态的映射(来源:ETHereum EVM illustrated.)
交易是改变整体状态的事情。事务指定通过执行以太坊虚拟机(EVM)更改全局状态的一系列指令(更准确地说,EVM是以太坊状态转换函数的实现形式,在定义任何状态机时都是必需的)

一个非常简单的状态机。圆圈表示状态,箭头表示状态转换。当然,以太坊的状态机要复杂得多。许多状态转换类以操作码的形式实现,并且可能具有无限状态
交易的创建者必须指定gas限额和gas价格。
Gas上限是交易对 以太坊 区块链施加的成本(计算、存储等)的度量。Gas 价格表明交易创建者愿意为每单位 Gas 支付多少钱(以 ETH 为单位)。例如,最基本的交易类(简单的转账)需要 21,000 单位的 gas;更复杂的交易则需要更多的gas。通常 gas 价格反映了当前对 EVM 计算的需求,并且随着时间的推移发生数量级变化。
(注:本文中的所有参考文献均来自引用的原始文章:https://arxiv.org/pdf/2012.00854.pdf )
交易创建者支付:gas limit × gas price。
块是一个有序的事务序列和一些相关的元数据(重要的是,它还包括一个指向前一个块的引用/指针;这就是为什么它被称为区块链。

©PNGWing
最大区块大小是任何区块可以包含的计算量的上限(以交易中的GAS总量表示)。目前,其上限设定为12.5mGAS;因此,每个区块交易的理论限制约为1000(尽管在实践中要少得多)。矿工负责选择事务并将其分块,并提供工作量证明。
以下内容对于理解本文的其余部分很重要:
交易费用机制(TFM)是协议的一部分,它决定了确认交易的创建者所支付的金额,以及获取这笔费用的对象。
当前交易成本
目前,以太坊网上交易采用最高价拍卖机制

资料来源:以太坊区块链交易成本机制设计——Eip-1559经济分析
这将导致“许多矿工将区块打包到最大区块大小,贪婪地优先处理GAS价格最高的未决交易”。
Eip-1559:核心理念
正式的以太坊改进建议(EIP)可在此处找到#1559(https://github.com/ETHereum/EIPs/blob/master/EIPS/EIP-1559.md )。
燃烧与历史相关的基础费用
- 每个区块都有一个由协议计算的基本价格(每单位GAS),称为基本费用。支付基本费用是加入该区块的先决条件。
- 基本成本只是前一个区块的函数。
- 所有来自基本费用的收入都被烧毁,也就是说,从ETH的总流通中**性地销毁。
可变块大小
- 最大区块尺寸增加一倍(例如,气体限制从12.5m增加到25m)。此时,旧的最大区块(例如12.5mGAS)将用作目标区块尺寸。
- 只要最新区块的大小大于或小于目标区块的大小,基本成本就会向上或向下调整。
提示
- 现在,交易不再是单一的GAS价格,而是包括小费和费用上限。只有当交易成本上限达到区块的基本成本时,交易才会打包到区块中。
- 谁付什么?如果基本费用为r,小费为δ,对于费用上限为C且气体限制为G的交易,交易创建者需要支付G·min(r+δ,C)ETH
- 谁收到了钱?基本支出的收入被销毁,其余部分转移给区块内的矿工。
有趣的是,当阅读这些关键思想时,人们可能会认为它们是随机的,和/或其中一些“关键思想”与其他思想有点正交。事实并非如此。这不是真的。这些想法是内在联系在一起的,你将在这篇文章的其余部分看到。
有趣的是,在阅读这些核心思想时,人们可能会认为这些思想相当随意,并且/或者其中一些与其他思想相矛盾。当然,事实并非如此,正如您将在本文的其余部分看到的,这些想法是内在联系在一起的。
可变区块大小作为需求的代表
第一点:这些想法本质上是相关的。它们是动态调整块大小的概念。为什么?有一个简单的答案:当区块大小是动态的时,开采区块的实际大小可以作为需求的代表。
EIP-1559的机制是使用过去的区块大小作为需求的链上衡量标准,大区块(超过12.5M gas)和小区块(低于12.5M gas)分别表示需求增加和减少。
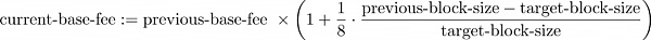
公式的更新
建议更新每个区块的基本成本公式,如下所示:

也就是说,在最大区块(即目标尺寸的两倍)之后,基本成本增加高达12.5%,在空区块之后降低高达12.5%。系数⅛ 这是相当武断的。“良好”系数可以使基本成本以适当的速度调整,以适应需求下降/上升的峰值。
十大要点
在这里,我将重申拉夫加登论文中的“十大要点”,并解释其背后的原因。
[1.]任何交易成本机制,无论是EIP-1559还是其他机制,都不能显著降低平均交易成本;持续的高事务成本是一个可伸缩性问题,而不是一个机制设计问题。
下图是在以太坊网络中计算(用气体测量)的供需图的代表性示例。

资料来源:以太坊区块链交易成本机制设计——Eip-1559经济分析
拉夫加登认为,所有(合理的)GAS价格机制都可以被视为“为实现这一理想而努力”。换句话说,努力达到最接近**交叉点的GAS价格。这种交集完全由供需关系决定,与GAS价格机制无关。
请注意,这完全独立于GAS价格机制。供需线的交点是市场结算价格,即总GAS需求等于可用供应时的价格。
拉夫加登认为,所有(合理的)GAS价格机制都可以被视为“为实现这一理想而努力”,即努力达到最接近**交叉口的GAS价格。这个交叉点完全由供需关系决定——它与GAS价格机制无关。
通过增加供应或减少需求来降低市场清算价格,从根本上说是一个可扩展性问题,而不是一个机制设计问题
[2.]EIP-1559应通过可变块大小的灵活性减少交易成本差异和用户经历的延迟。
如前“要点”所述,只要需求超过供给,交易成本就会很高。
那么,该提案的意义何在?为了使交易费用更可预测,从而使费用估算问题,即为交易选择**gas价格的问题,尽可能地简单明了。
本质上,作者认为EIP-1559的主要好处是改善用户体验(UX),并通过他所谓的“用户激励兼容性(UIC)”形式化用户体验。为了使这个博客相对“简单”,我将跳过这种****的细节,但本文也提供了一个很好的直观类比:
在亚马逊上购物要比在竞争激烈的房地产市场上买房子容易得多。在亚马逊上,不需要讲究策略,也不需要猜测自己;你要么愿意为货架产品支付所列价格,要么不 愿意…
在准备购买一套房子并与其他潜在买家竞争时,你必须仔细考虑向卖家的出价。而且,不管你有多聪明,事后你都可能会对你的报价感到后悔–要么是因为你出价过低,被人PK掉,要么是因为你出价过高,支付的价格超过了你的心理价格。房子不需要卖给愿意支付最多的潜在买家(如果该买家出价过高),这是经济效率的损失。

苏富比的艺术品拍卖会。诚然,这不是我们正在处理的问题的完美类比:gas价格,但它确实是一个很好的图片,艺术界总是有趣的话题:)图片来源::ukartpics/Alamy Stock Photo
从本质上讲,目前的GAS价格竞价系统在市场上造成了很多“混乱”(导致市场效率低下),因为交易创造者通常不会诚实地说出他们愿意竞价的内容,他们的决定通常会受到其他人(或他们认为其他人)的影响。坦率地说,定价更直接,以减少市场混乱和效率低下。
[3.]EIP-1559应通过简单的成本估算,以“明显的**出价”的形式改善用户体验,但需求快速增长的时期除外。
本文中证明这一点的部分相当复杂,但本质上可以归结为证明所谓的“用户激励相容性”。本节(6.3)中的证明表明,1559机制通常用作“定价机制”(如前面给出的亚马逊示例)。应注意的是,在需求快速增长的时期,情况并非如此,因为:
当基本费用过低时,用户必须通过他们的小费来竞争稀缺的区块空间,1559机制实际上又回到了最高价竞拍。
换言之,在需求急剧上升的情况下,1559看起来与目前的系统没有什么不同。
[4.]根据EIP-1559,矿工按预期执行协议的短期激励与最高价格拍卖一样强烈。
“预期”是指:
- 矿工没有动机进行虚假交易
- 矿工没有动机与链外用户勾结
第6.2节和第6.4节正式证明了这些论点。
[5.]在EIP-1559框架下,双花攻击、审查攻击、拒绝服务攻击和长期收入最大化战略(如操纵基本成本)的博弈论壁垒似乎与最高价格拍卖一样强大。
第7.5节对此的解释相当简洁,但基本要点是:根据EIP-1559,“主要”攻击载体并不比当前的GAS价格机制更容易使用,因为它们“可检测、理论上脆弱,或两者兼而有之”。
[6.]EIP-1559应通过焚烧交易费用至少适度降低ETH的扩张率。
显然,燃烧越多,ETH流量越小。
[7.]面对链外协议带来的威胁,简单成本估算和成本燃烧这两个看似正交的目标变得不可分割。
有趣的是,燃烧的基本成本是1559机制的必要部分。否则(即,如果矿工只收取费用),整个1559机制将相当于最高价格拍卖;就是现在。换言之,如果1559机制被修改以使矿工赚取基本费用,那么当前的GAS价格机制将被降低。
我认为这是一个关键点,因为我多次看到其他人的观点,认为EIP-1559与当前的机制相同,但事实并非如此,特别是由于引入了燃烧。
此外,有一种观点认为,在这种设计中,基本成本也是必要的,因为简单地从最高价格的拍卖中消耗成本已被证明是次优的(因为链外协议变得有利可图)
[8.]替代设计包括在未来区块中提前向矿工支付基本费用收入,而不是焚烧这些区块;以及将用户设置的可变提示替换为固定提示。
这也是非常重要的。作者表明,研究论文中针对EIP-1559提出的所有论点也适用于其他几种替代设计。
我将特别提到的另一种设计是支付基本的远期成本。鉴于拟议挖矿机制的最大成本,见下文EIP-1559。
[我们可以证明]为了使区块的基本费用在经济上有意义,来自它的收入不能传递给该区块的矿工。也许在当前的 EIP-1559 规范中扣留这些收入的最简单方法是销毁这些收入,有效地向所有 ETH 持有者发放一次性退款。另一种解决方案是将这些收入转移给其他区块的一个或多个矿工。
EIP-1559的替代/修改可能会影响矿工的意见。我有兴趣听到更广泛的讨论/辩论。
[9.]EIP-1559的基本成本更新规则有些随意,应随时间调整。
关于基本利率的更新功能,我已经在上面提到过(“⅛ 系数是相当任意的”)。最大块大小的两倍也是一个任意的“好”数字。更一般地说,1559机制只需要满足几个条件,即:
- 与历史相关的基本成本,以及
- 焚烧或以其他方式扣留区块内矿工的收入

关于过冲的插图。这张图片来自****上关于过冲的文章,本意一个来自信号处理的话题,只是与目前的话题有点关系,可以用来辅助解释)
此外,Roughgarden概述了基本费用更新规则所需的几个附加条件:
- 在需求突然激增(或下降)后,进行合理快速的向上(或向下)调整。
- 调整的速度足够慢,以避免对微小或非常短暂的需求变化做出过度反应。
- 不能由用户和/或矿工组成的卡特尔可以用博弈论冷静地操纵。
- 攻击者的成本很高。
“相当快”是多快?“贵”到底有多贵?这些问题,**通过实验和社区讨论来回答。
[10.]可变大小的数据块使得一个新的(但代价昂贵的)攻击载体能够用一系列最大的数据块压倒网络。
一种可能性是,“激进的矿工卡特尔”制造了一系列最大的区块,以造成需求冲击,然后推动用户增加小费。使用较大的块可以缓解这种情况,而且成本较高。
注意事项
愤怒的矿工
但是,真的有足够的证据来证明,矿工勾结的危害性在 EIP-1559 下不会比现在更糟吗?
似乎大多数矿工(至少是矿场)都反对EIP-1559。这是因为他们认为焚烧会损失部分利润,这是可以理解的。这带来了许多问题。关键可能是:如果大多数矿工拒绝包括EIP-1559的升级,那么这个更新真的可以实施吗?这会导致网络中的另一个分歧吗?
其他攻击向量是“脆弱博弈”——例如,将区块规模保持在一定水平并人为减少供应量——然而,只要有足够多愤怒的矿工成功串通,就有可能实施这种原本“脆弱”的串通策略。
然后总有人问这样一个问题:这对更广泛的社区有什么影响?我认为更广泛的区块链社区不会对协议变更的争议和分歧采取积极态度。
我想借此机会再次强调Tim Roughgarden提出的EIP-1559变体:“预付基本费用”,这可能提供一个急需的折衷方案?
结论
- Eip-1559可能不会导致平均GAS价格下降。
- Eip-1559可通过简单的成本估算和较少变动的GAS价格改善用户体验(即交易创建者的体验)。
- 从传统博弈论的角度来看,EIP-1559在某些假设下提供了与现行GAS价格选择机制相同的安全保障。
- 在这方面需要注意的是,由足够多不满的矿工造成的矿工之间更大的勾结可能会破坏这些结论所基于的一些更传统的博弈论假设。对手能摧毁我们的博弈论吗?成功实施“脆弱”的共谋战略?
- 我们可以对拉夫加登的EIP-1559的变体“预付基本成本”进行广泛的讨论吗?也许这可以提供一个急需的中间地带(在用户和矿工之间)?