
Uniswap V2是****和最成功的DEX。
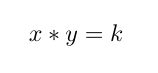
配对资产通过曲线进行定价,结果如下:

其中x和y是基金池中的资产余额。
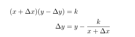
给定Δx。为了将ΔX换成Δy。Uniswap V2将执行以下计算:
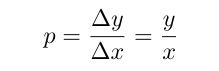
交换后,不变的xy=k仍然满足,价格为:

Uniswap V2的一个主要功能是不需要许可证。任何人都可以通过提供代币来创建两个资产的事务对。
例如,通过在基金池中提供x=1 ETH和y=3000 USDT,流动性提供者可以创建一个交易对,ETH最初定价为3000 USDT/ETH。
尽管Uniswap V2已被广泛采用,但Uniswap V2的关键问题是其低资本效率,因为流动性是按价格[0,+∞].
这意味着,如果两项资产的价格集中在相对较小的范围内(如稳定币掉期),则基金池中的大部分资产不会有效地为掉期作出贡献,从而导致LP的滑动点较高,收取的费用较低。
Uniswap V3的集中流动性
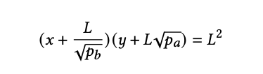
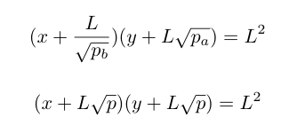
Uniswap V3通过使用一种称为集中流动性的技术来提高资本的效率,该技术使用以下曲线:

交易的实际价格为[p_a,p_b]中等,p_alt;;p_b
通过设置p_A=0和p_B=+∞, V2本质上是v3的一个特例。
提供流动性时,Uniswap V3将询问LP流动性的价格范围(见下图)。

这允许LP将流动性集中在目标价格范围内,以实现更高的资本效率。
以稳定币交易(usdc/USDT)为例,从下图可以看出,95%的流动性集中在价格区间[0.999,1.001],与Uniswap v2相比,实现了约2000倍的资本效率。
由于流动性集中,交易usdc/USDT的滑动点远低于v2。因此,对于流动性池中提供的相同数量的资产,LP可以收取超过V2的费用。

由于集中流动性的特点,Uniswap V3的TVL进展非常顺利,在大约三个月内达到25亿。

多个集合资产的集中流动性
Uniswap V3只是成对资产的集中流动性。一个自然的问题是:
- 资本池中多个资产的集中流动性是什么?
通过将流动性集中于各种资产,我们可以实现更高的资本效率,因为资产可以在资本池**享流动性。相反,在V3中,由于直接交易的流动性不足,交易可能被路由到多个交易对。例如,交换tusd-gt;;母线可连接至tusd-gt;;USDT-gt;;Busd,这意味着交易者将支付更多,并且滑动点越高。
因此,核心问题是:
- 多重资产的流动性曲线应该是什么?
不幸的是,答案并不简单,甚至更复杂。让我们从最能从集中流动性中获益的稳定币交易开始。
假设两种稳定币的价格介于[P,1/P](例如,P=0.999)之间,我们可以将V3曲线简化如下:

其中[P,1/P]=[P_a,P_b]
简化曲线的优点是它有点对称。直观的扩展是将第三项添加到另一个稳定币上,以获得以下等式:

请注意3个资产方程和2个资产方程之间的细微变化:
•右侧为L³而非L²
•我们使用P的立方根,而不是左侧的P的平方根。
根据这个等式,我们得到了一个关键结果:

例子
平衡池
•三种稳定币
,小数点后六位•x、y、z=[1000000e6、1000000e6、1000000e6],即每个基金池中有1m种
•P=0.999,即价格范围为[0.999、1.001]
由于这三个术语相同,我们有:
L=x/(1-∛0.999)=2998.99977x
请注意,与X,y=k曲线(其中l=X)相比,我们的资本效率约为2000倍。
将10000 E6(即10000美元)t0换成T1将返回9999.96e6 T1@0.99996 t0/T1。为了进行比较,xy=k曲线将返回9375e6 T1@0.9375 t0/T1,滑动点高得多。
极不平衡的资本池
•三种稳定币
,小数点后6位•x,y,z=[0,0,1000000e6],即每个资产池中有1m种
•P=0.999,即价格范围为[0.999,1.001]
由于基金池中只有一项资产T2,我们预计T2的价格将接近价格限制,即0.999或同等价格,剩余资产(t0/T1)和T2的价格应为1.001。
根据这条曲线,我们可以解出L=999.333z。因此,将10000e6 t0换成T2将返回10009.90e6 T2@1.00099 t0/T2,这与价格限制(1/0.999)几乎相同。
现状
我们正在实施稳定币兑换算法:
•高分辨率定点解算器•n=3个资产(但可以扩展到更多资产)
•可调价格范围[P,1/P]
•Uniswap V2风格接口(铸造/销毁/交换)
•气体成本优化
一旦算法的实现得到了很好的验证,我们将使用它作为下一版本ooth的候选。金融(ty)。
未来议题
在集合资产集中流动性领域,可以进一步开发几个有趣的主题:
•更多资产{x_0,x_1,…,x_n},其中曲线如下:

•多种价格范围。例如,假设我们有P_0lt;;p_1(例如,p_0=0.99,p_1=0.999),LP可以选择其流动性的一个价格范围。
因此,该算法将联合求解以下方程进行交换。

•不同资产的不同价格范围,方程式如下:

总结
集中流动性是dex中最热门的话题之一,具有以下好处:
•更高的资本效率•更低的滑动点•更多的费用
Uniswap V3是第一个为配对资产提供集中流动性的DEX。对于稳定币交易,资本效率可以达到2000倍。
我们建议将流动性集中于多池资产:
•跨多个资产共享流动性。
•非常适合稳定币交易。
•在同一支持资产互换市场(相对于曲线)中可以成为一种竞争产品。
•稳健的智能合约实施。